试卷预览
- 1越靠近短路点,零序电压的有效值( )。
A.不变
B.越高
C.越低
D.不确定
开始考试练习点击查看答案 - 2短路电流中一定存在零序分量的短路类型是( )。
A.接地短路
B.相间短路
C.不对称接地短路
D.三相短路
开始考试练习点击查看答案 - 3关于短路故障时正序电压、负序电压和零序电压的分布,下列说法正确的是( )。
A.短路点正序电压、负序电压和零序电压均最高
B.发电机机端正序电压、负序电压和零序电压均最高
C.发电机机端正序电压最高,短路点负序电压和零序电压最高
D.发电机中性点负序电压和零序电压最高,正序电压最低
开始考试练习点击查看答案 - 4在星形连接方式中,零序电流必须以中性线(地线)作为通路,且中性线中的零序电流为一相零序电流的( )倍。
A.1
B.2
C.3
D.4
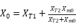
开始考试练习点击查看答案 - 5
接线变压器的零序电抗为( )。A.

B.

C.

D.以上都不对
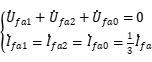
开始考试练习点击查看答案 - 6.两相短路的边界条件是( )。
A.

B.

C.

D.
开始考试练习点击查看答案
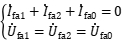
- 7两相接地短路的边界条件是( )。
A.

B.

C.
开始考试练习点击查看答案
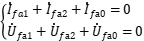
- 8对于单相短路,其序网络的连接是( )。
A.正序和负序并联
B.正序、负序、零序串联
C.正序、负序、零序并联
D.正序、负序并联,再和零序串联
开始考试练习点击查看答案 - 9对于两相短路,其序网络的连接是( )。
A.正序和负序并联
B.正序、负序、零序串联
C.正序、负序、零序并联
D.正序、负序并联,再和零序串联
开始考试练习点击查看答案 - 10对于两相接地短路,其序网络的连接是( )。
A.正序和负序并联
B.正序、负序、零序串联
C.正序、负序、零序并联
D.正序、负序并联,再和零序串联
开始考试练习点击查看答案
湘公网安备:43011102000856号 
