试卷预览
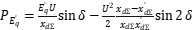
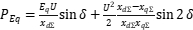
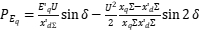
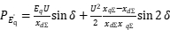
- 21单机无穷大系统中,假设励磁电流为常数,则凸极发电机的功角特性表达式为( )。
A.

B.

C.

D.以上都不对
开始考试练习点击查看答案 - 22单机无穷大系统中,假设自动调节励磁装置使
恒定,则凸极发电机的功率极限出现的功角在( )90°处。A.大于
B.小于
C.等于
D.不确定
开始考试练习点击查看答案 - 23单机无穷大系统中,假设自动调节励磁装置使E',恒定,则隐极发电机的功率极限出现的功角在( )90°处。
A.大于
B.小于
C.等于
D.不确定
开始考试练习点击查看答案 - 24单机无穷大系统中,假设自动调节励磁装置使E。恒定,则凸极发电机的功率极限出现的功角在( )90°处。
A.大于
B.小于
C.等于
D.不确定
开始考试练习点击查看答案
。 - 25发电机在某一运行点运行时,受到小干扰后,发电机输出电磁功率随功角增大而增大,则该运行点是否稳定?( )
A.稳定
B.不稳定
C.处于稳定边界
D.不确定
开始考试练习点击查看答案 - 26发电机在某一运行点运行时,受到小干扰后,发电机整步功率系数随功角增大而( )。
A.增大
B.减小
C.不变
D.不确定
开始考试练习点击查看答案 - 27下列说法中,可以提高发电机储备系数的是( )。
A.采用自动重合闸装置
B.采用制动电阻
C.提高系统容量
D.以上都不对
开始考试练习点击查看答案 - 28通过线路串联电容减小了线路电抗,发电机储备系数会有所( )。
A.增大
B.减小
C.不变
D.不确定
开始考试练习点击查看答案 - 29发电机在某一运行点运行时,受到小干扰后,与系统非周期性地失去同步,则受到干扰时,发电机功角的增量( )。
A.大于零
B.小于零
C.等于零
D.不确定
开始考试练习点击查看答案 - 30关于提高系统静态稳定性,下列说法正确的是( )。
A.采用自动重合闸装置增加了减速面积,减小了加速面积
B.变压器中性点接小电阻可以提高系统静态稳定性
C.串补电容越大越好
D.系统具有足够的无功容量时,有利于提高系统静态稳定性
开始考试练习点击查看答案
湘公网安备:43011102000856号 
